Официальное опубликование правовых актов
ОФИЦИАЛЬНОЕ ОПУБЛИКОВАНИЕ
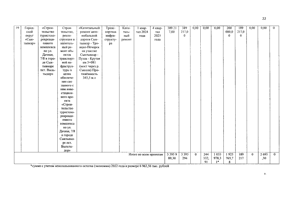
Постановление Правительства Республики Коми от 22.03.2023 № 132
"О внесении изменения в постановление Правительства Республики Коми от 10 декабря 2021 г. № 577 "Об утверждении детализированного перечня мероприятий, реализуемых в рамках инфраструктурных проектов Республики Коми, отобранных в соответствии с постановлением Правительства Российской Федерации от 14 июля 2021 г. № 1189 "Об утверждении Правил отбора инфраструктурных проектов, источником финансового обеспечения расходов на реализацию которых являются бюджетные кредиты из федерального бюджета бюджетам субъектов Российской Федерации на финансовое обеспечение реализации инфраструктурных проектов, и о внесении изменений в Положение о Правительственной комиссии по региональному развитию в Российской Федерации"
Номер опубликования: 1100202303240007
Дата опубликования: 24.03.2023
Страница №22 из 22:
Увеличить