Официальное опубликование правовых актов
ОФИЦИАЛЬНОЕ ОПУБЛИКОВАНИЕ
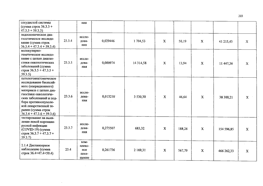
Постановление Правительства Республики Коми от 26.12.2022 № 659
"Об утверждении территориальной программы государственных гарантий бесплатного оказания гражданам медицинской помощи на территории Республики Коми на 2023 год и на плановый период 2024 и 2025 годов"
Номер опубликования: 1100202212290023
Дата опубликования: 29.12.2022
Страница №203 из 242:
Увеличить