Официальное опубликование правовых актов
ОФИЦИАЛЬНОЕ ОПУБЛИКОВАНИЕ
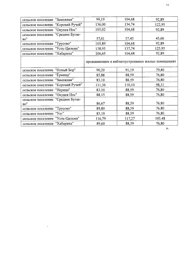
Постановление Правительства Республики Коми от 27.06.2022 № 308
"О внесении изменения в постановление Правительства Республики Коми от 3 июля 2014 г. № 262 "О региональных стандартах оплаты жилого помещения и коммунальных услуг"
Номер опубликования: 1100202206290005
Дата опубликования: 29.06.2022
Страница №11 из 11:
Увеличить