Официальное опубликование правовых актов
ОФИЦИАЛЬНОЕ ОПУБЛИКОВАНИЕ
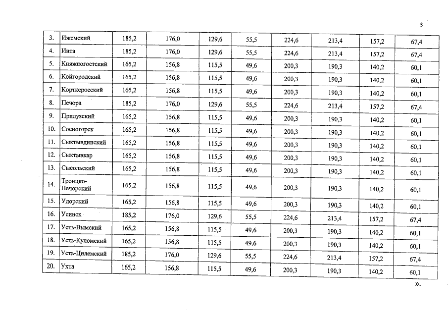
Постановление Правительства Республики Коми от 16.12.2021 № 592
"О внесении изменений в постановление Правительства Республики Коми от 15 февраля 2016 г. № 63 "О максимальном размере родительской платы за присмотр и уход за детьми в государственных и муниципальных образовательных организациях, находящихся на территории Республики Коми"
Номер опубликования: 1100202112210021
Дата опубликования: 21.12.2021
Страница №3 из 3:
Увеличить