Официальное опубликование правовых актов
ОФИЦИАЛЬНОЕ ОПУБЛИКОВАНИЕ
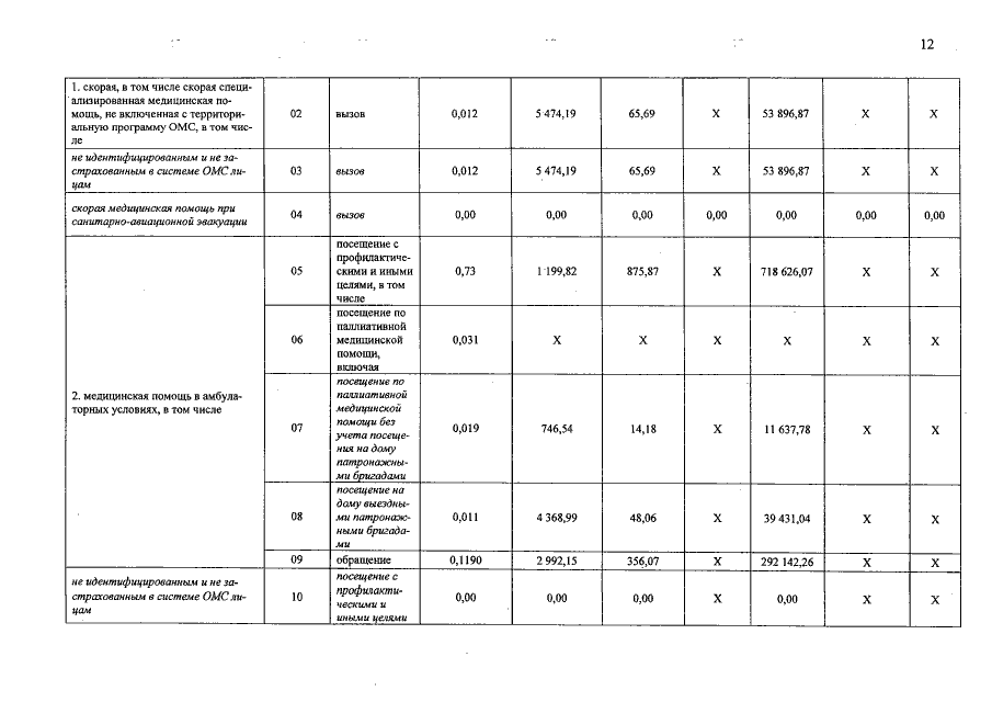
Постановление Правительства Республики Коми от 08.12.2021 № 573
"О внесении изменений в постановление Правительства Республики Коми от 29 декабря 2020 г. № 676 "Об утверждении территориальной программы государственных гарантий бесплатного оказания гражданам медицинской помощи на территории Республики Коми на 2021 год и на плановый период 2022 и 2023 годов"
Номер опубликования: 1100202112140003
Дата опубликования: 14.12.2021
Страница №12 из 22:
Увеличить