Официальное опубликование правовых актов
ОФИЦИАЛЬНОЕ ОПУБЛИКОВАНИЕ
Постановление Правительства Республики Коми от 12.02.2019 № 65
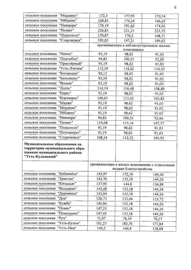
"О внесении изменения в постановление Правительства Республики Коми от 3 июля 2014 г. № 262 "О региональных стандартах оплаты жилого помещения и коммунальных услуг"
Номер опубликования: 1100201902150002
Дата опубликования: 15.02.2019
Страница №6 из 11:
Увеличить