Официальное опубликование правовых актов
ОФИЦИАЛЬНОЕ ОПУБЛИКОВАНИЕ
Приказ Министерства национальной и региональной политики Республики Карелия от 06.10.2025 № 196
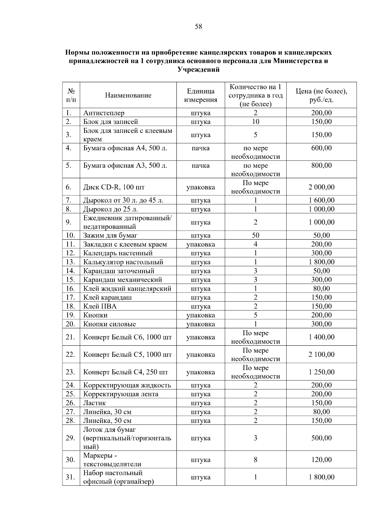
"Об утверждении нормативных затрат на обеспечение функций Министерства национальной и региональной политики Республики Карелия и подведомственных ему государственных учреждений Республики Карелия в части закупок товаров, работ, услуг"
(Зарегистрирован 08.10.2025 № 808)
Номер опубликования: 1001202510090001
Дата опубликования: 09.10.2025
Страница №60 из 73:
Увеличить