Официальное опубликование правовых актов
ОФИЦИАЛЬНОЕ ОПУБЛИКОВАНИЕ
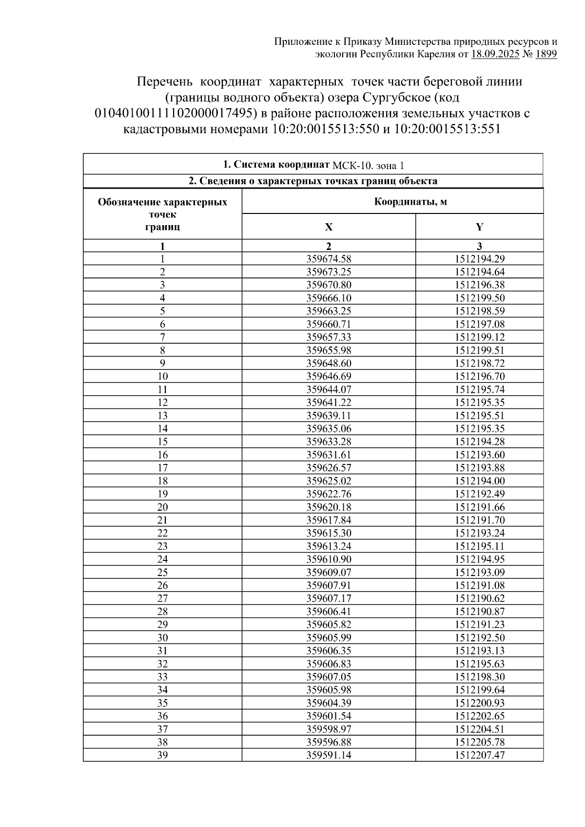
Приказ Министерства природных ресурсов и экологии Республики Карелия от 18.09.2025 № 1899
"Об утверждении местоположения береговой линии (границы водного объекта) озера Сургубское (код 01040100111102000017495) в районе расположения земельных участков с кадастровыми номерами 10:20:0015513:550 и 10:20:0015513:551"
(Зарегистрирован 19.09.2025 № 768)
Номер опубликования: 1001202509220008
Дата опубликования: 22.09.2025
Страница №3 из 4:
Увеличить