Официальное опубликование правовых актов
ОФИЦИАЛЬНОЕ ОПУБЛИКОВАНИЕ
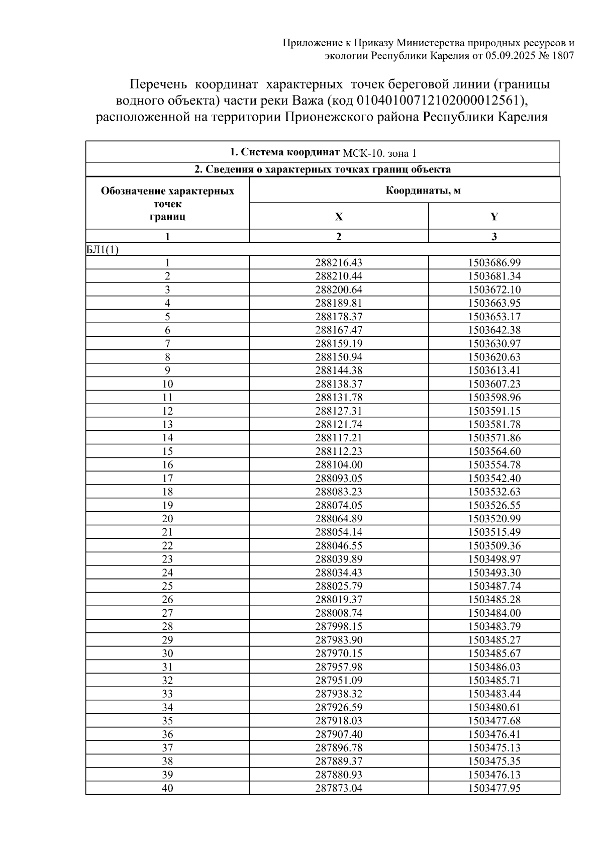
Приказ Министерства природных ресурсов и экологии Республики Карелия от 05.09.2025 № 1807
"Об утверждении местоположения береговой линии (границы водного объекта) части реки Важа (код 01040100712102000012561), расположенной на территории Прионежского района Республики Карелия"
(Зарегистрирован 10.09.2025 № 739)
Номер опубликования: 1001202509170009
Дата опубликования: 17.09.2025
Страница №3 из 8:
Увеличить