Официальное опубликование правовых актов
ОФИЦИАЛЬНОЕ ОПУБЛИКОВАНИЕ
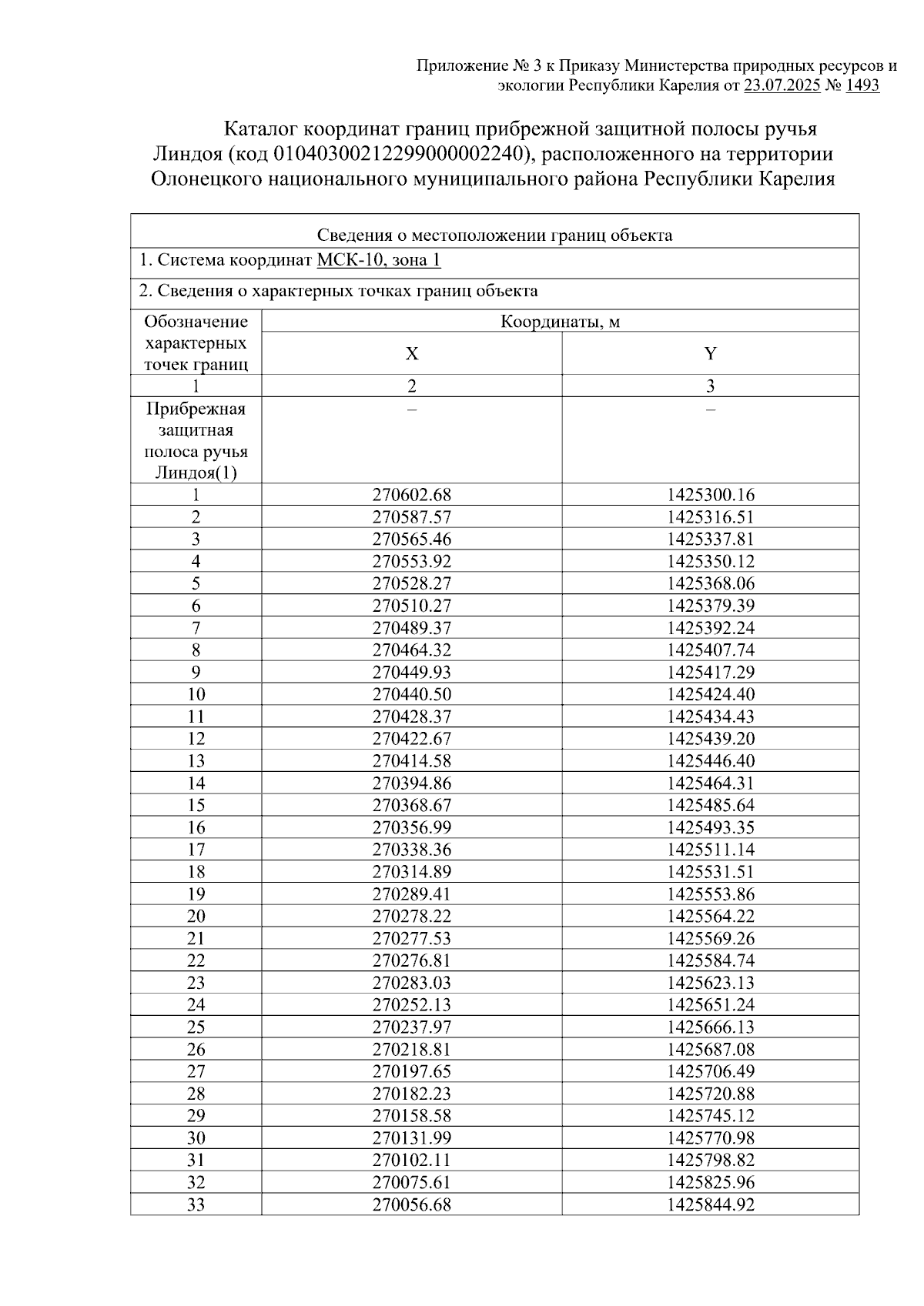
Приказ Министерства природных ресурсов и экологии Республики Карелия от 23.07.2025 № 1493
"Об утверждении местоположения береговой линии (границы водного объекта), границ водоохранной зоны и прибрежной защитной полосы ручья Линдоя (код 01040300212299000002240), расположенного на территории Олонецкого национального муниципального района Республики Карелия"
(Зарегистрирован 23.07.2025 № 617)
Номер опубликования: 1001202507280002
Дата опубликования: 28.07.2025
Страница №26 из 40:
Увеличить