Официальное опубликование правовых актов
ОФИЦИАЛЬНОЕ ОПУБЛИКОВАНИЕ
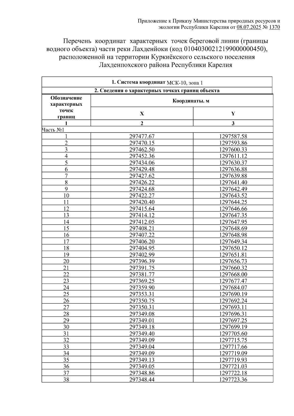
Приказ Министерства природных ресурсов и экологии Республики Карелия от 08.07.2025 № 1370
"Об утверждении местоположения береговой линии (границы водного объекта) части реки Лахденйоки (код 01040300212199000000450), расположенной на территории Куркиёкского сельского поселения Лахденпохского района Республики Карелия"
(Зарегистрирован 10.07.2025 № 594)
Номер опубликования: 1001202507110003
Дата опубликования: 11.07.2025
Страница №3 из 63:
Увеличить