Приказ Министерства природных ресурсов и экологии Республики Карелия от 08.07.2025 № 1369
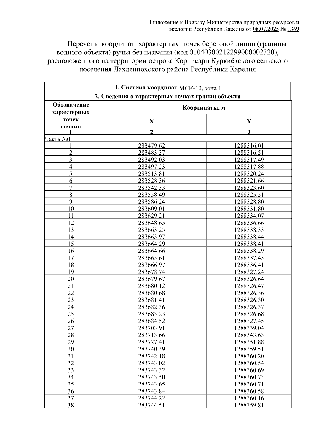
"Об утверждении местоположения береговой линии (границы водного объекта) ручья без названия (код 01040300212299000002320), расположенного на территории острова Корписари Куркиёкского сельского поселения Лахденпохского района Республики Карелия"
(Зарегистрирован 10.07.2025 № 593)
"Об утверждении местоположения береговой линии (границы водного объекта) ручья без названия (код 01040300212299000002320), расположенного на территории острова Корписари Куркиёкского сельского поселения Лахденпохского района Республики Карелия"
(Зарегистрирован 10.07.2025 № 593)
Номер опубликования: 1001202507110001
Дата опубликования:
11.07.2025
