Официальное опубликование правовых актов
ОФИЦИАЛЬНОЕ ОПУБЛИКОВАНИЕ
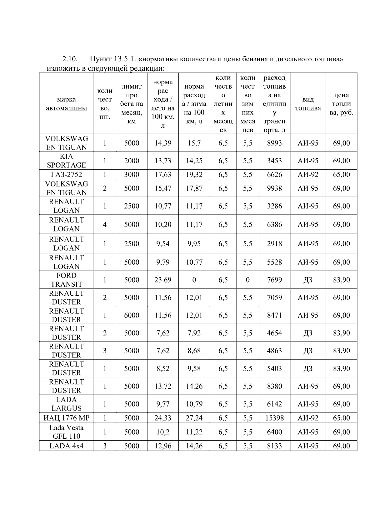
Приказ Министерства по дорожному хозяйству, транспорту и связи Республики Карелия от 27.06.2025 № 109/МДХТиС-П
"О внесении изменений в приказ Министерства по дорожному хозяйству, транспорту и связи Республики Карелия от 03 марта 2025 года № 32/МДХТиС-П "Об утверждении нормативных затрат на обеспечение функций Министерства по дорожному хозяйству, транспорту и связи Республики Карелия и подведомственного казенного учреждения Республики Карелия "Управление автомобильных дорог Республики Карелия"
(Зарегистрирован 30.06.2025 № 548)
Номер опубликования: 1001202507040015
Дата опубликования: 04.07.2025
Страница №9 из 22:
Увеличить