Официальное опубликование правовых актов
ОФИЦИАЛЬНОЕ ОПУБЛИКОВАНИЕ
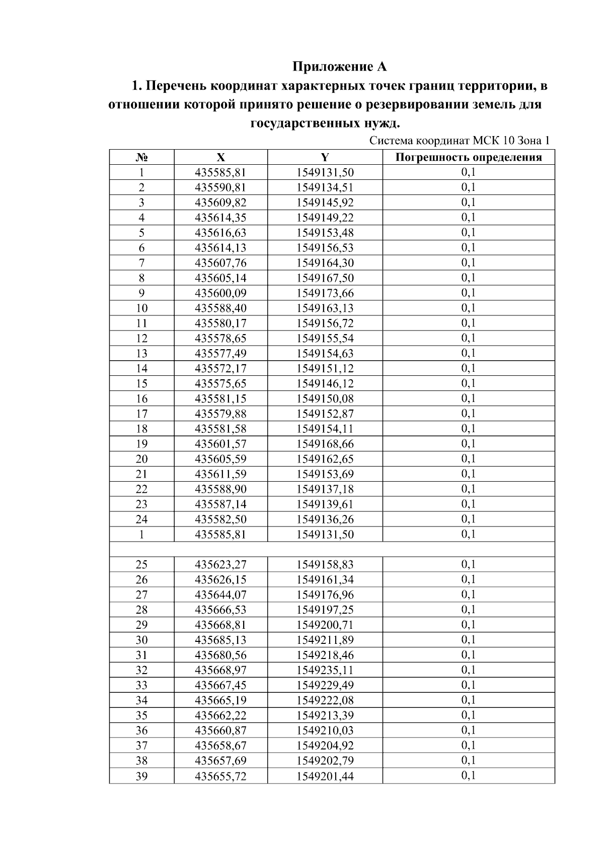
Приказ Министерства имущественных и земельных отношений Республики Карелия от 16.10.2024 № 95/МИЗО-П
"О резервировании земель для государственных нужд Республики Карелия"
(Зарегистрирован 18.10.2024 № 778)
Номер опубликования: 1001202410180003
Дата опубликования: 18.10.2024
Страница №6 из 8:
Увеличить