Официальное опубликование правовых актов
ОФИЦИАЛЬНОЕ ОПУБЛИКОВАНИЕ
Приказ Управления по молодежной политике Республики Карелия от 05.08.2024 № 23/УМП-п
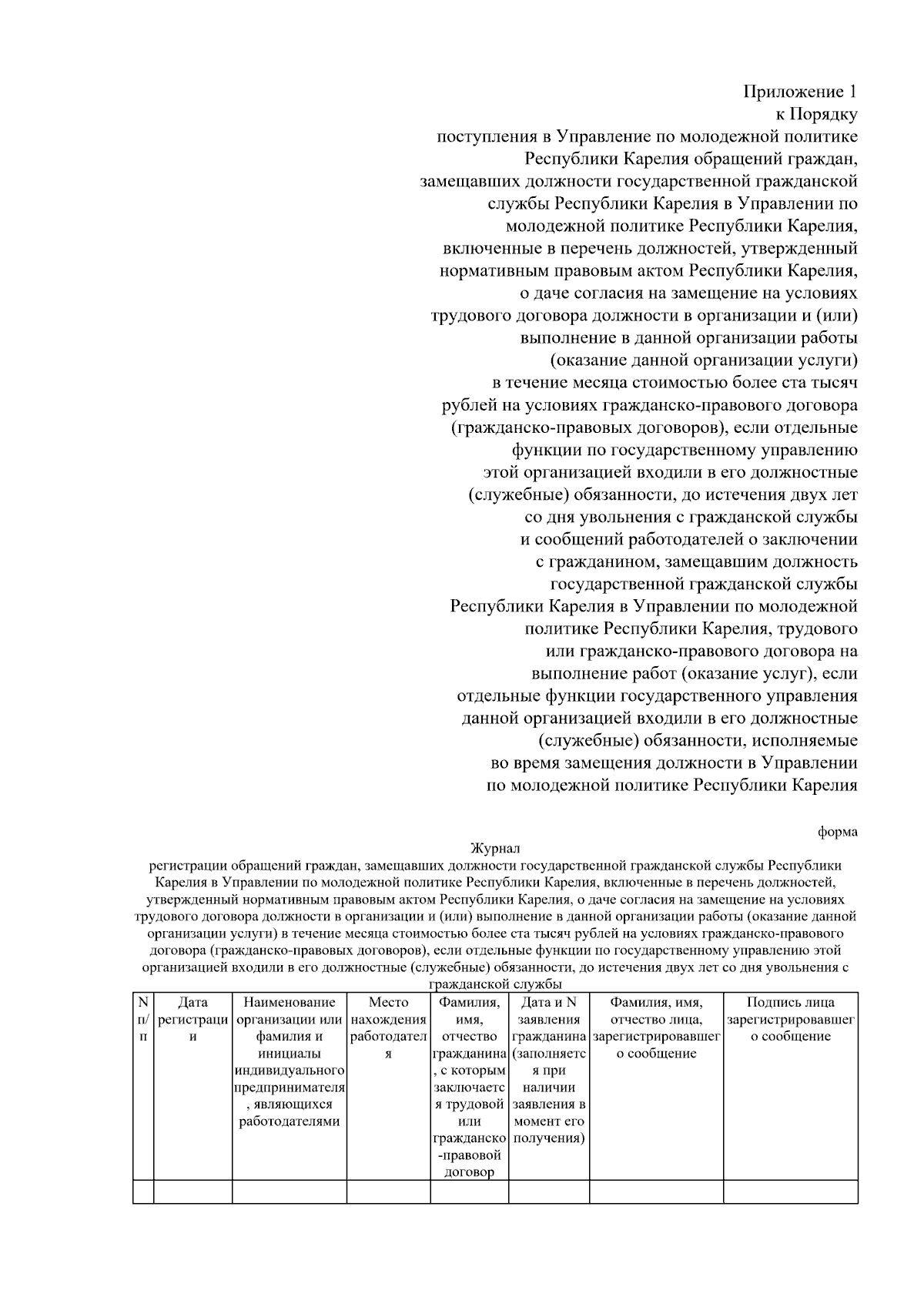
"Об утверждении порядка поступления в Управление по молодежной политике Республики Карелия обращений граждан, замещавших должности государственной гражданской службы Республики Карелия в Управлении по молодежной политике Республики Карелия, включенные в перечень должностей, утвержденный нормативным правовым актом Республики Карелия, о даче согласия на замещение на условиях трудового договора должности в организации и (или) выполнение в данной организации работы (оказание данной организации услуги) в течение месяца стоимостью более ста тысяч рублей на условиях гражданско-правового договора (гражданско-правовых договоров), если отдельные функции по государственному управлению этой организацией входили в его должностные (служебные) обязанности, до истечения двух лет со дня увольнения с гражданской службы и сообщений работодателей о заключении с гражданином, замещавшим должность государственной гражданской службы Республики Карелия в Управлении по молодежной политике Республики Карелия, трудового или гражданско-правового договора на выполнение работ (оказание услуг), если отдельные функции государственного управления данной организацией входили в его должностные (служебные) обязанности, исполняемые во время замещения должности в Управлении по молодежной политике Республики Карелия"
(Зарегистрирован 07.08.2024 № 626)
Номер опубликования: 1001202408070004
Дата опубликования: 07.08.2024
Страница №8 из 11:
Увеличить