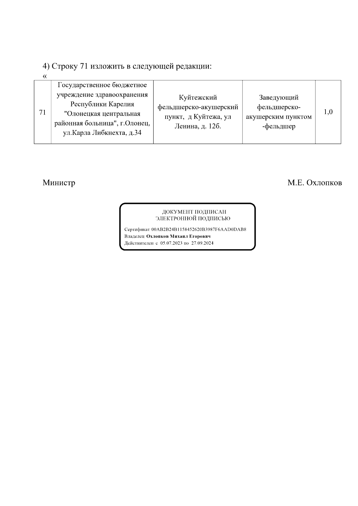
Приказ Министерства здравоохранения Республики Карелия от 29.07.2024 № 961 /МЗ-П
"О внесении изменений в приказ Министерства здравоохранения Республики Карелия от 18 января 2024 года № 60/МЗ-П"
(Зарегистрирован 29.07.2024 № 597)
"О внесении изменений в приказ Министерства здравоохранения Республики Карелия от 18 января 2024 года № 60/МЗ-П"
(Зарегистрирован 29.07.2024 № 597)
Номер опубликования: 1001202408010001
Дата опубликования:
01.08.2024
