Официальное опубликование правовых актов
ОФИЦИАЛЬНОЕ ОПУБЛИКОВАНИЕ
Приказ Министерства природных ресурсов и экологии Республики Карелия от 31.05.2024 № 1176
"Об утверждении территориальной схемы обращения с отходами в Республике Карелия"
(Зарегистрирован 31.05.2024 № 451)
Номер опубликования: 1001202406060001
Дата опубликования: 06.06.2024
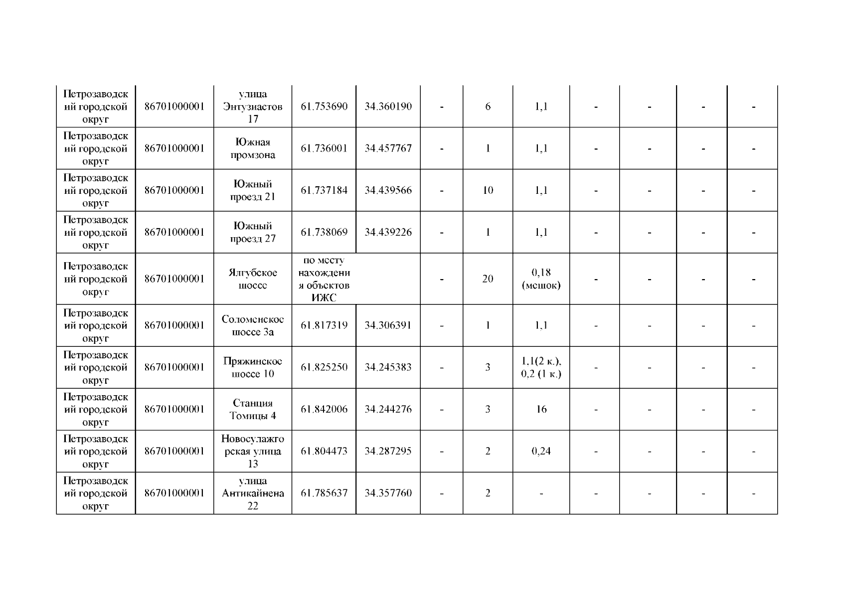
Страница №1787 из 2062:
Увеличить