Официальное опубликование правовых актов
ОФИЦИАЛЬНОЕ ОПУБЛИКОВАНИЕ
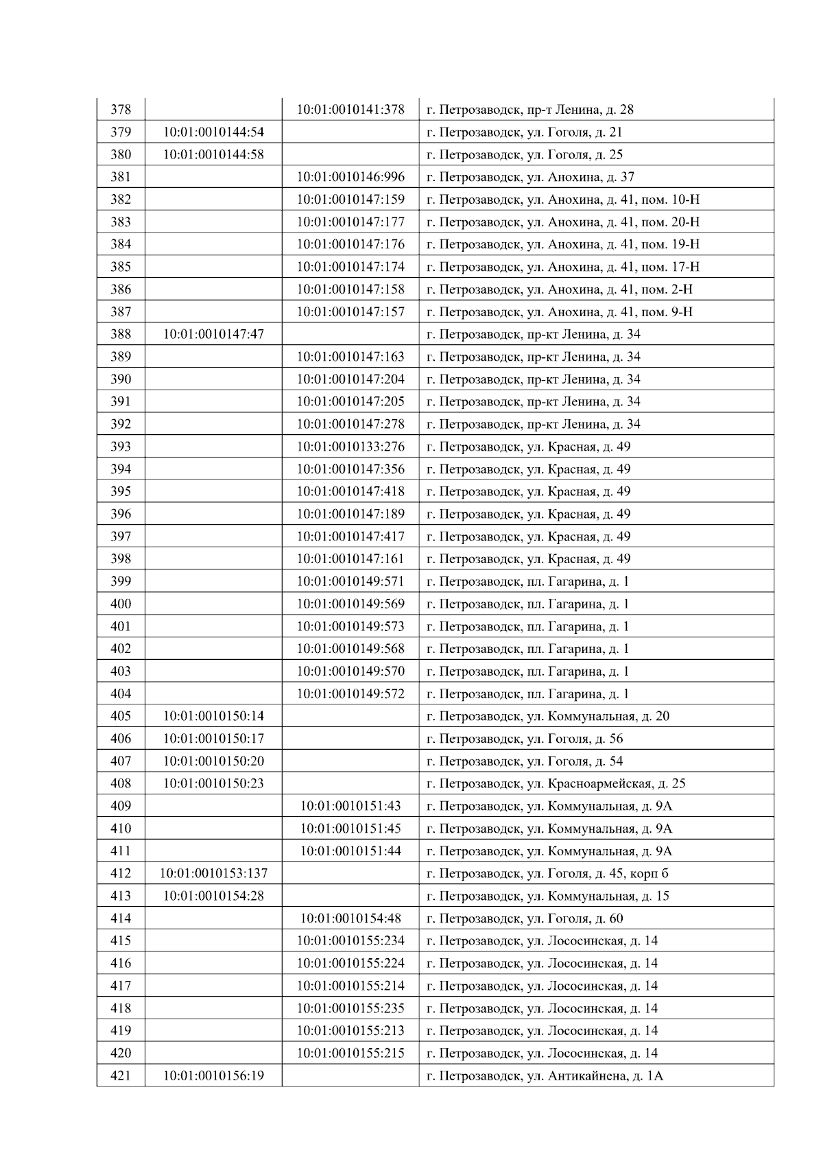
Приказ Министерства имущественных и земельных отношений Республики Карелия от 22.12.2023 № 82/МИЗО-П
"Об определении перечня объектов недвижимого имущества, указанных в подпунктах 1 и 2 пункта 1 статьи 378.2 Налогового кодекса Российской Федерации, в отношении которых на налоговый период 2024 года налоговая база определяется как кадастровая стоимость"
(Зарегистрирован 25.12.2023 № 1122)
Номер опубликования: 1001202312250014
Дата опубликования: 25.12.2023
Страница №12 из 101:
Увеличить