Официальное опубликование правовых актов
ОФИЦИАЛЬНОЕ ОПУБЛИКОВАНИЕ
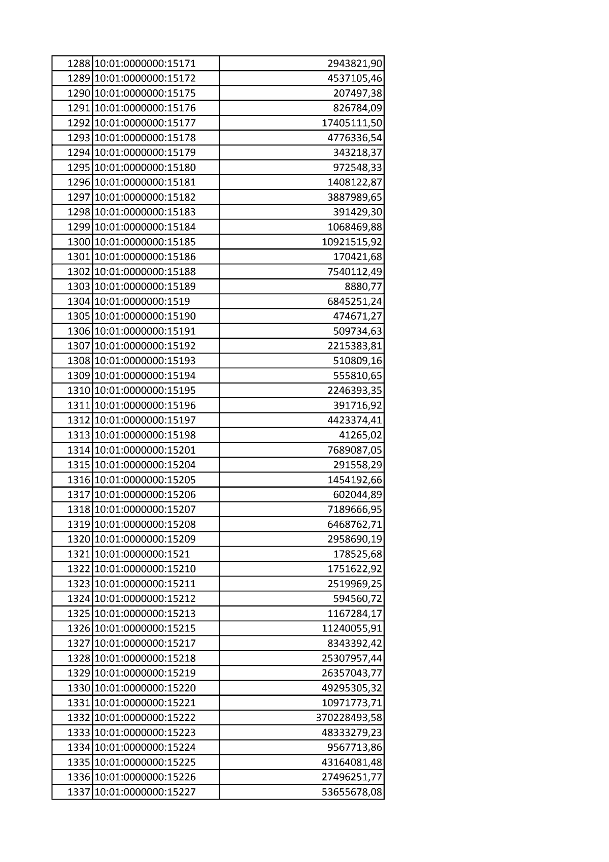
Приказ Министерства имущественных и земельных отношений Республики Карелия от 20.11.2023 № 74/МИЗО-П
"Об утверждении результатов определения кадастровой стоимости объектов недвижимости (зданий, помещений, сооружений, объектов незавершенного строительства, машино-мест), расположенных на территории Республики Карелия"
(Зарегистрирован 22.11.2023 № 940)
Номер опубликования: 1001202311240001
Дата опубликования: 24.11.2023
Страница №30 из 10344:
Увеличить