Официальное опубликование правовых актов
ОФИЦИАЛЬНОЕ ОПУБЛИКОВАНИЕ
Приказ Министерства экономического развития и промышленности Республики Карелия от 29.05.2023 № 384
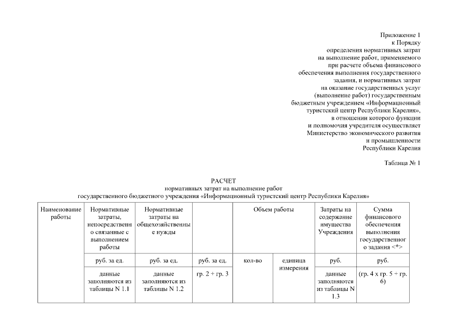
"Об утверждении порядка определения нормативных затрат на выполнение работ, применяемого при расчете объема финансового обеспечения выполнения государственного задания, и нормативных затрат на оказание государственных услуг (выполнение работ) государственным бюджетным учреждением "Информационный туристский центр Республики Карелия", в отношении которого функции и полномочия учредителя осуществляет Министерство экономического развития и промышленности Республики Карелия"
(Зарегистрирован 29.05.2023 № 418)
Номер опубликования: 1001202306010001
Дата опубликования: 01.06.2023
Страница №13 из 21:
Увеличить