Официальное опубликование правовых актов
ОФИЦИАЛЬНОЕ ОПУБЛИКОВАНИЕ
Приказ Министерства имущественных и земельных отношений Республики Карелия от 21.03.2023 № 20/МИЗО-П
"О внесении изменений в приказ Министерства имущественных и земельных отношений Республики Карелия от 15 ноября 2022 года № 256/1"
(Зарегистрирован 22.03.2023 № 246)
Номер опубликования: 1001202303220012
Дата опубликования: 22.03.2023
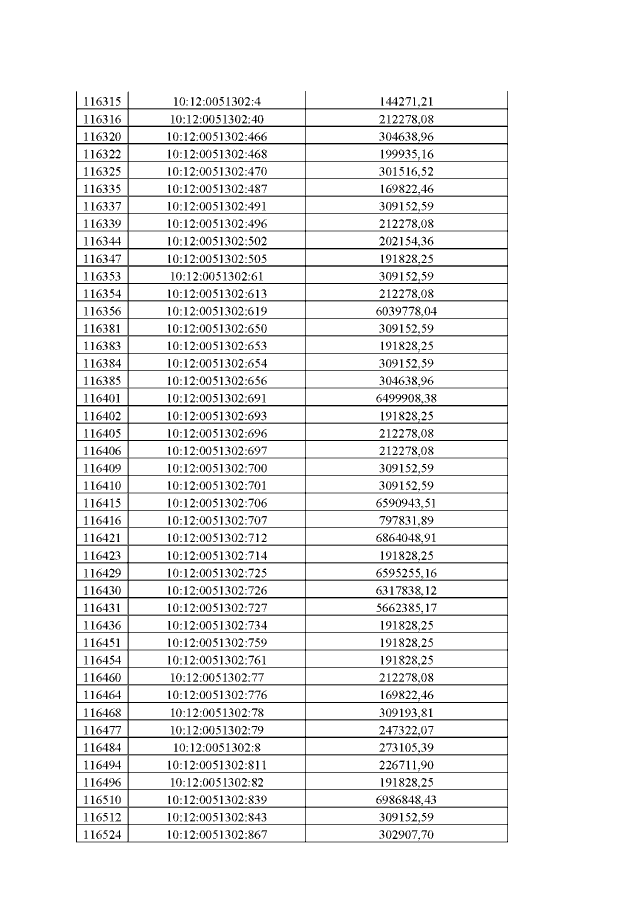
Страница №145 из 156:
Увеличить