Официальное опубликование правовых актов
ОФИЦИАЛЬНОЕ ОПУБЛИКОВАНИЕ
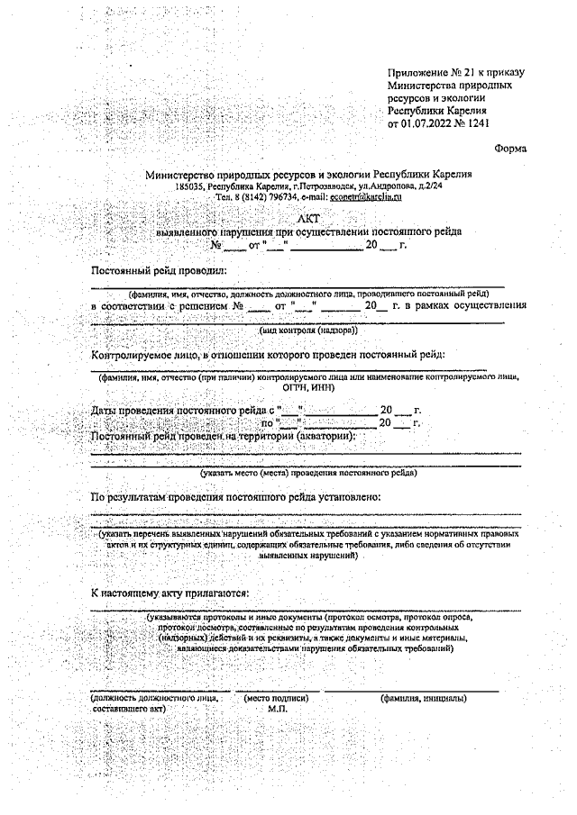
Приказ Министерства природных ресурсов и экологии Республики Карелия от 20.03.2023 № 542
"О внесении изменений в приказ Министерства природных ресурсов и экологии Республики Карелия от 1 июля 2022 года № 1241"
(Зарегистрирован 21.03.2023 № 234)
Номер опубликования: 1001202303220004
Дата опубликования: 22.03.2023
Страница №4 из 4:
Увеличить