Официальное опубликование правовых актов
ОФИЦИАЛЬНОЕ ОПУБЛИКОВАНИЕ
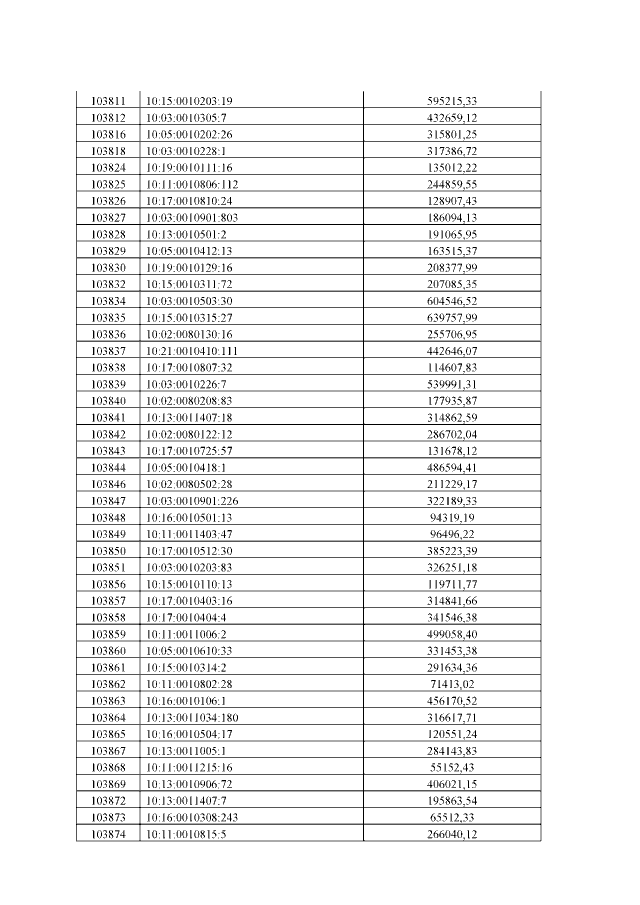
Приказ Министерства имущественных и земельных отношений Республики Карелия от 06.02.2023 № 8/МИЗО-П
"О внесении изменений в приказ Министерства имущественных и земельных отношений Республики Карелия от 15 ноября 2022 года № 256/1"
(Зарегистрирован 06.02.2023 № 106)
Номер опубликования: 1001202302070001
Дата опубликования: 07.02.2023
Страница №231 из 1280:
Увеличить