Официальное опубликование правовых актов
ОФИЦИАЛЬНОЕ ОПУБЛИКОВАНИЕ
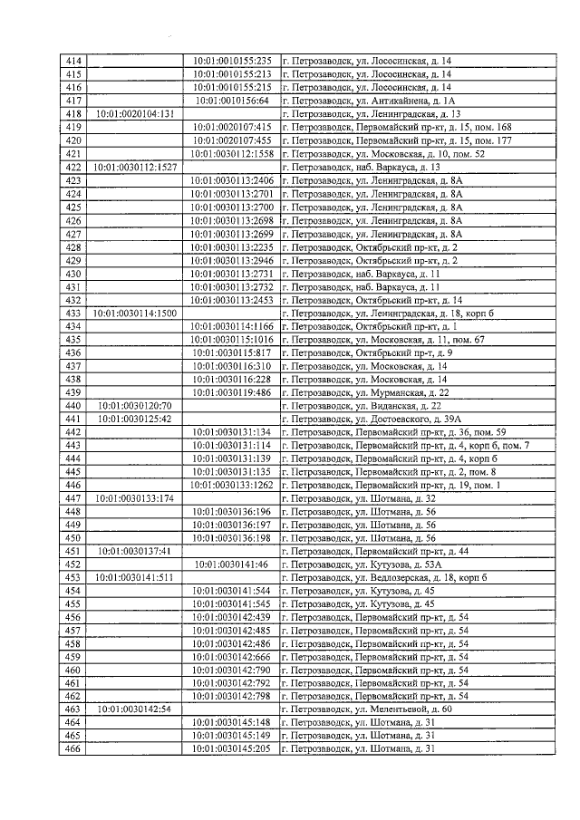
Приказ Министерства имущественных и земельных отношений Республики Карелия от 29.12.2022 № 325
"Об определении перечня объектов недвижимого имущества, указанных в подпунктах 1 и 2 пункта 1 статьи 378.2 Налогового кодекса Российской Федерации, в отношении которых на налоговый период 2023 года налоговая база определяется как кадастровая стоимость"
Номер опубликования: 1001202212290001
Дата опубликования: 29.12.2022
Страница №10 из 60:
Увеличить