Официальное опубликование правовых актов
ОФИЦИАЛЬНОЕ ОПУБЛИКОВАНИЕ
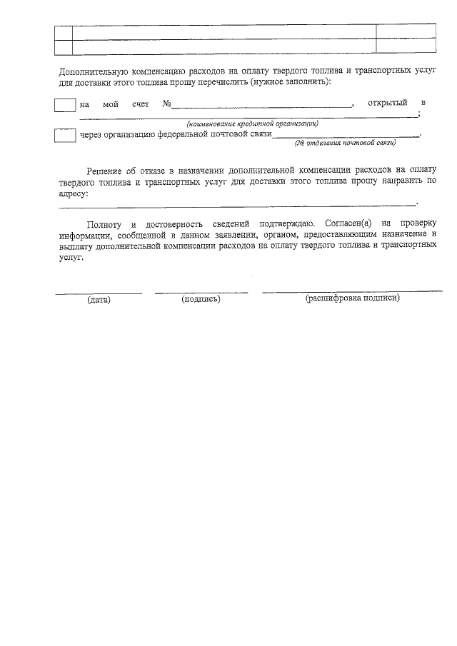
Приказ Министерства социальной защиты Республики Карелия от 05.07.2022 № 424-П
"Об утверждении форм заявлений о назначении мер социальной поддержки"
Номер опубликования: 1001202207070006
Дата опубликования: 07.07.2022
Страница №7 из 7:
Увеличить