Официальное опубликование правовых актов
ОФИЦИАЛЬНОЕ ОПУБЛИКОВАНИЕ
Приказ Управления по охране объектов культурного наследия Республики Карелия от 22.03.2022 № 119
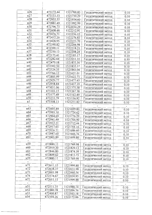
"Об утверждении границ территории объекта культурного наследия регионального значения - достопримечательное место "Место прорыва Медвежьегорского узла обороны", расположенного по адресу: Республика Карелия, Медвежьегорский район, г. Медвежьегорск, установлении требований к осуществлению деятельности и требований к градостроительным регламентам в границах его территории"
Номер опубликования: 1001202203230004
Дата опубликования: 23.03.2022
Страница №35 из 60:
Увеличить