Официальное опубликование правовых актов
ОФИЦИАЛЬНОЕ ОПУБЛИКОВАНИЕ
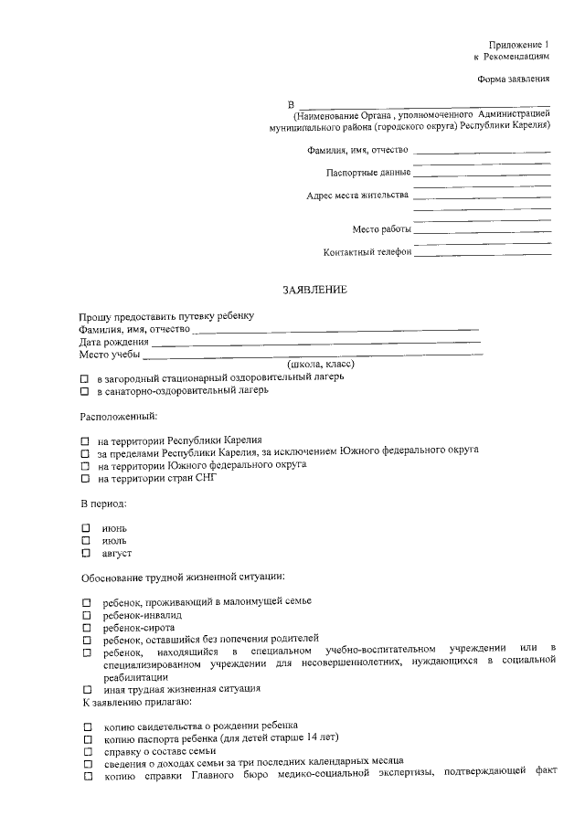
Приказ Министерства образования и спорта Республики Карелия от 24.02.2022 № 217
"О мерах по организации отдыха детей в каникулярное время в 2022 году"
Номер опубликования: 1001202202250001
Дата опубликования: 25.02.2022
Страница №17 из 22:
Увеличить