Официальное опубликование правовых актов
ОФИЦИАЛЬНОЕ ОПУБЛИКОВАНИЕ
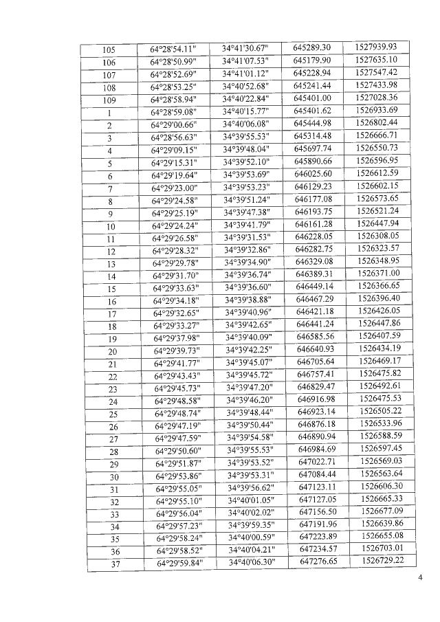
Приказ Управления по охране объектов культурного наследия Республики Карелия от 24.01.2022 № 30
"Об утверждении границ территории объекта культурного наследия федерального значения – достопримечательное место "Наскальные изображения III-II тысячелетий до н.э.", расположенного по адресу: Республика Карелия, Беломорский район, близ деревни Выгостров."
Номер опубликования: 1001202201250006
Дата опубликования: 25.01.2022
Страница №4 из 14:
Увеличить