Официальное опубликование правовых актов
ОФИЦИАЛЬНОЕ ОПУБЛИКОВАНИЕ
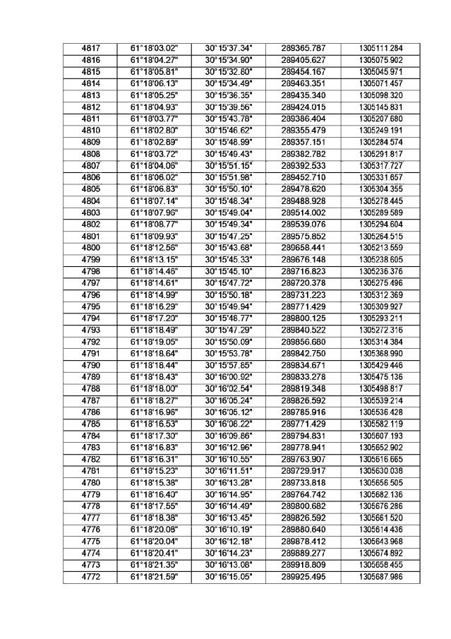
Приказ Министерства природных ресурсов и экологии Республики Карелия от 11.01.2022 № 17
"Об утверждении местоположения береговой линии (границы водного объекта), границ водоохранной зоны и прибрежной защитной полосы Ладожского озера в Лахденпохском муниципальном районе Республики Карелия"
Номер опубликования: 1001202201140002
Дата опубликования: 14.01.2022
Страница №389 из 623:
Увеличить