Официальное опубликование правовых актов
ОФИЦИАЛЬНОЕ ОПУБЛИКОВАНИЕ
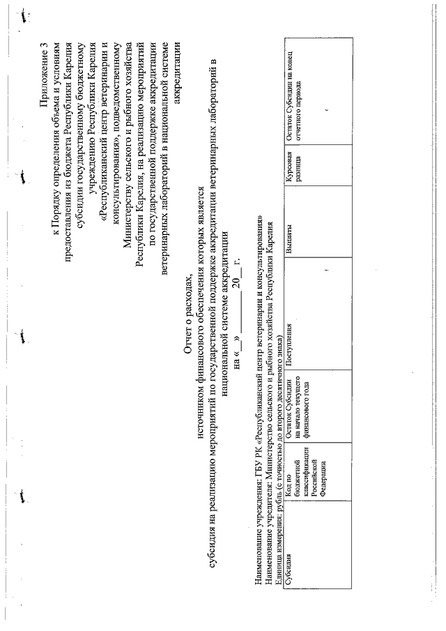
Приказ Министерства сельского и рыбного хозяйства Республики Карелия от 10.01.2022 № 3
"Об утверждении Порядка определения объема и условия предоставления из бюджета Республики Карелия субсидии государственному бюджетному учреждению Республики Карелия "Республиканский центр ветеринарии и консультирования", подведомственному Министерству сельского и рыбного хозяйства Республики Карелия, на реализацию мероприятий по государственной поддержке аккредитации ветеринарных лабораторий в национальной системе аккредитации"
Номер опубликования: 1001202201120002
Дата опубликования: 12.01.2022
Страница №10 из 13:
Увеличить