Официальное опубликование правовых актов
ОФИЦИАЛЬНОЕ ОПУБЛИКОВАНИЕ
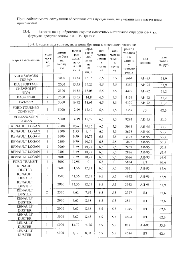
Приказ Министерства по дорожному хозяйству, транспорту и связи Республики Карелия от 10.12.2021 № 304
"Об утверждении нормативных затрат на обеспечение функций Министерства по дорожному хозяйству, транспорту и связи Республики Карелия и подведомственного казенного учреждения Республики Карелия "Управление автомобильных дорог Республики Карелия"
Номер опубликования: 1001202112140010
Дата опубликования: 14.12.2021
Страница №65 из 84:
Увеличить