Официальное опубликование правовых актов
ОФИЦИАЛЬНОЕ ОПУБЛИКОВАНИЕ
Постановление Государственного комитета Республики Карелия по ценам и тарифам от 09.12.2021 № 142
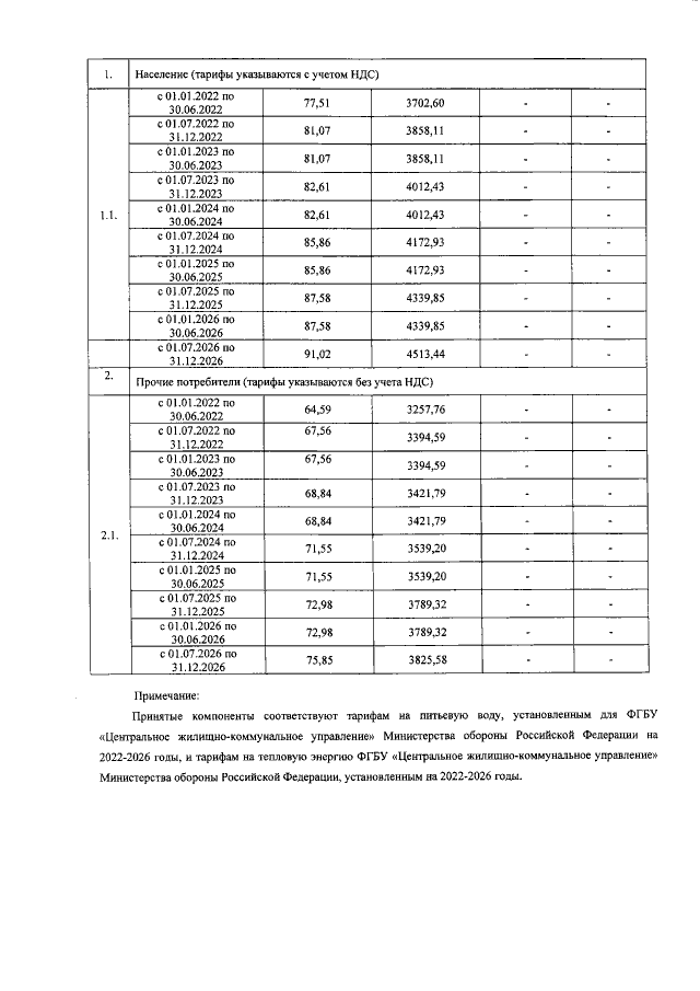
"О тарифах на тепловую энергию и горячую воду с использованием централизованной закрытой системы горячего водоснабжения Федерального государственного бюджетного учреждения "Центральное жилищно-коммунальное управление" Министерства обороны Российской Федерации, отпускаемых на территории Республики Карелия"
Номер опубликования: 1001202112140005
Дата опубликования: 14.12.2021
Страница №10 из 11:
Увеличить