Официальное опубликование правовых актов
ОФИЦИАЛЬНОЕ ОПУБЛИКОВАНИЕ
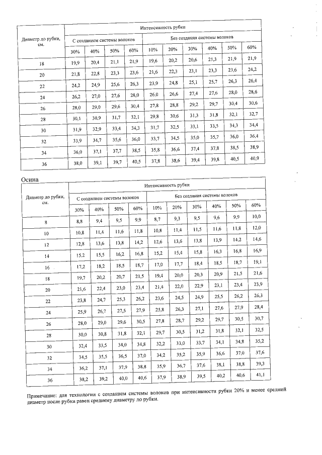
Приказ Министерства природных ресурсов и экологии Республики Карелия от 25.11.2021 № 2410
"О внесении изменений в приказ Министерства природных ресурсов и экологии Республики Карелия от 30 сентября 2020 года № 1719"
Номер опубликования: 1001202111300005
Дата опубликования: 30.11.2021
Страница №219 из 227:
Увеличить