Официальное опубликование правовых актов
ОФИЦИАЛЬНОЕ ОПУБЛИКОВАНИЕ
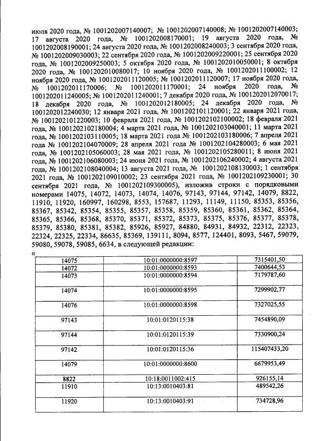
Приказ Министерства имущественных и земельных отношений Республики Карелия от 13.10.2021 № 235
"О внесении изменений в приказ Министерства имущественных и земельных отношений Республики Карелия от 5 ноября 2019 года № 191"
Номер опубликования: 1001202110130001
Дата опубликования: 13.10.2021
Страница №2 из 5:
Увеличить