Официальное опубликование правовых актов
ОФИЦИАЛЬНОЕ ОПУБЛИКОВАНИЕ
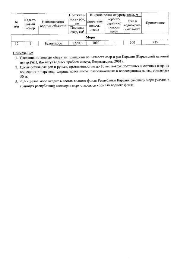
Приказ Министерства природных ресурсов и экологии Республики Карелия от 09.08.2021 № 1661
"О внесении изменений в приказ Министерства природных ресурсов и экологии Республики Карелия от 30 сентября 2020 года № 1724"
Номер опубликования: 1001202108160005
Дата опубликования: 16.08.2021
Страница №200 из 223:
Увеличить