Официальное опубликование правовых актов
ОФИЦИАЛЬНОЕ ОПУБЛИКОВАНИЕ
Приказ Министерства имущественных и земельных отношений Республики Карелия от 24.12.2020 № 347
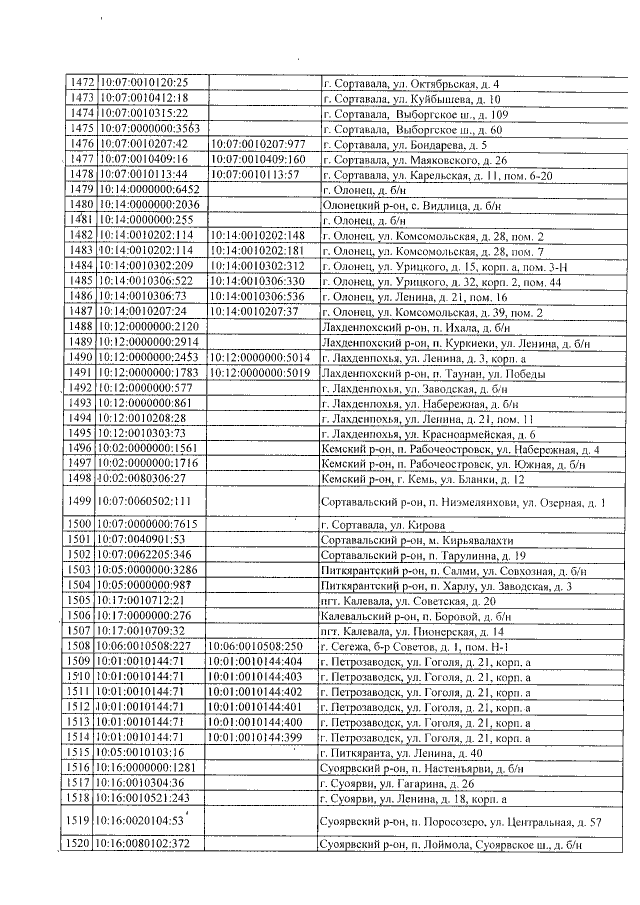
"Об определении перечня объектов недвижимого имущества, указанных в подпунктах 1 и 2 пункта 1 статьи 378.2 Налогового кодекса Российской Федерации, в отношении которых на налоговый период 2021 года налоговая база определяется как кадастровая стоимость"
Номер опубликования: 1001202012280005
Дата опубликования: 28.12.2020
Страница №33 из 52:
Увеличить