Официальное опубликование правовых актов
ОФИЦИАЛЬНОЕ ОПУБЛИКОВАНИЕ
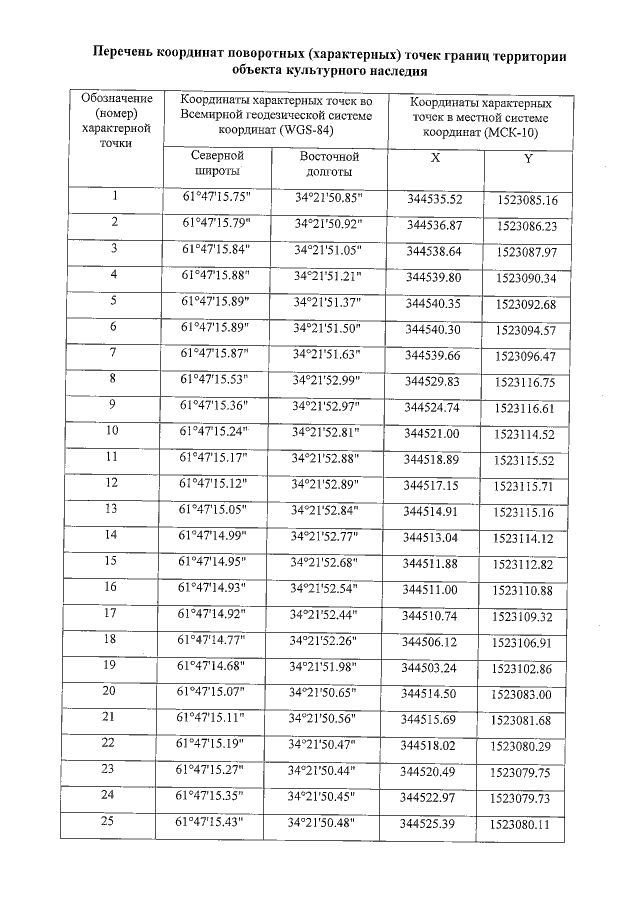
Приказ Управления по охране объектов культурного наследия Республики Карелия от 13.11.2020 № 624
"Об утверждении границ территории объекта культурного наследия федерального значения "Памятник В.И. Ленину", расположенного по адресу: Республика Карелия, г. Петрозаводск, пл. Ленина"
Номер опубликования: 1001202011160003
Дата опубликования: 16.11.2020
Страница №5 из 8:
Увеличить