Официальное опубликование правовых актов
ОФИЦИАЛЬНОЕ ОПУБЛИКОВАНИЕ
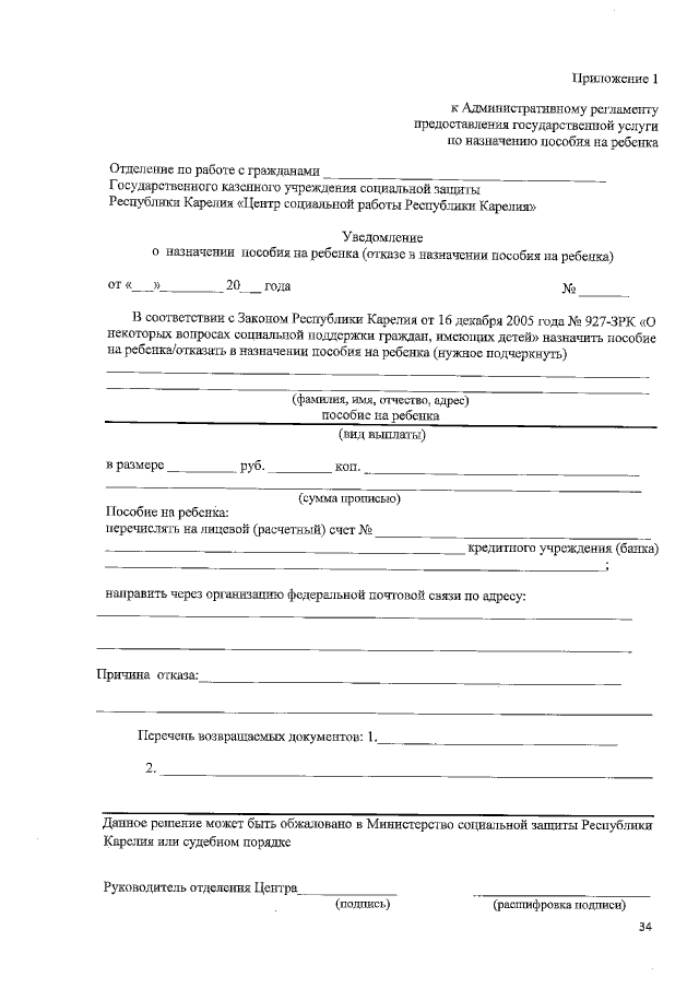
Приказ Министерства социальной защиты Республики Карелия от 31.07.2020 № 552-П
"Об утверждении Административного регламента предоставления государственной услуги по назначению пособия на ребенка"
Номер опубликования: 1001202008030003
Дата опубликования: 03.08.2020
Страница №34 из 34:
Увеличить