Официальное опубликование правовых актов
ОФИЦИАЛЬНОЕ ОПУБЛИКОВАНИЕ
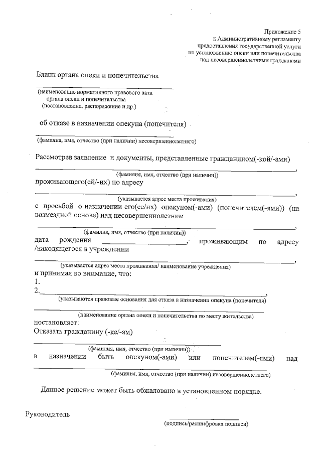
Приказ Министерства социальной защиты Республики Карелия от 29.07.2020 № 535-П
"Об утверждении Административного регламента предоставления государственной услуги по установлению опеки или попечительства над несовершеннолетними гражданами"
Номер опубликования: 1001202007300001
Дата опубликования: 30.07.2020
Страница №36 из 36:
Увеличить