Официальное опубликование правовых актов
ОФИЦИАЛЬНОЕ ОПУБЛИКОВАНИЕ
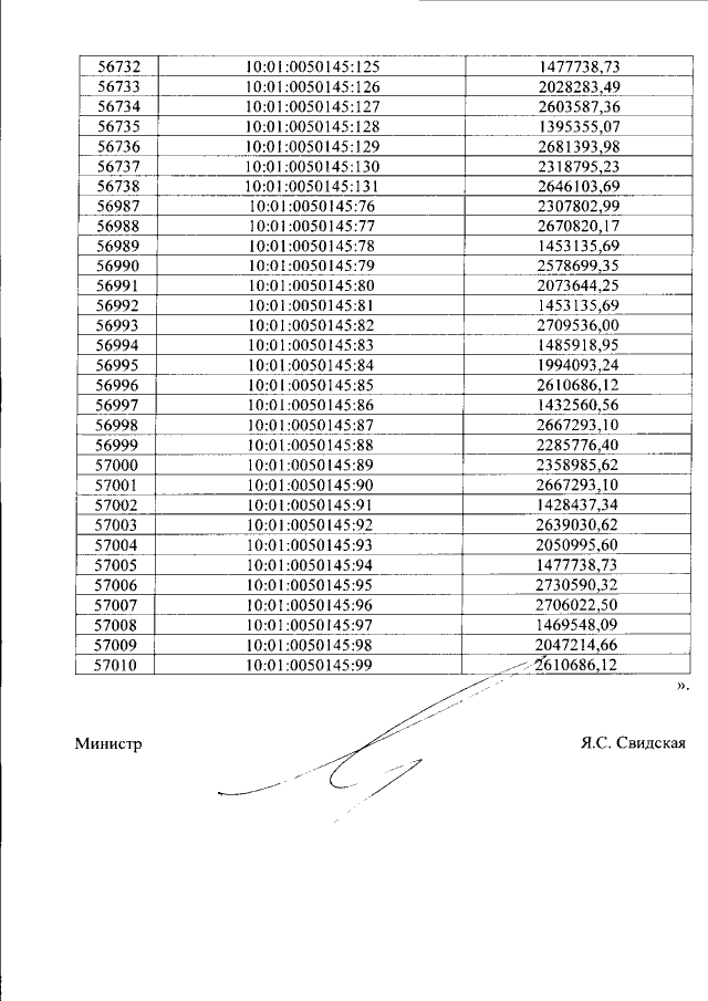
Приказ Министерства имущественных и земельных отношений Республики Карелия от 13.07.2020 № 186
"О внесении изменений в приказ Министерства имущественных и земельных отношений Республики Карелия от 5 ноября 2019 года № 191"
Номер опубликования: 1001202007140007
Дата опубликования: 14.07.2020
Страница №3 из 3:
Увеличить