Официальное опубликование правовых актов
ОФИЦИАЛЬНОЕ ОПУБЛИКОВАНИЕ
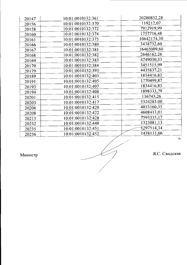
Приказ Министерства имущественных и земельных отношений Республики Карелия от 06.07.2020 № 180
"О внесении изменений в приказ Министерства имущественных и земельных отношений Республики Карелия от 5 ноября 2019 года № 191"
Номер опубликования: 1001202007060004
Дата опубликования: 06.07.2020
Страница №3 из 3:
Увеличить