Официальное опубликование правовых актов
ОФИЦИАЛЬНОЕ ОПУБЛИКОВАНИЕ
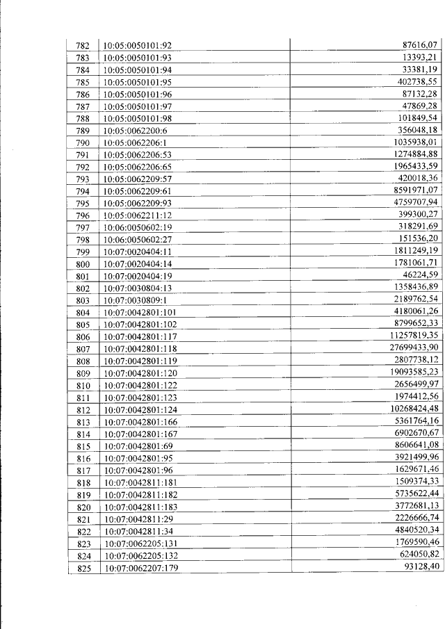
Приказ Министерства имущественных и земельных отношений Республики Карелия от 18.06.2020 № 165
"Об утверждении результатов определения кадастровой стоимости земельных участков категории земель особо охраняемых территорий и объектов, расположенных на территории Республики Карелия"
Номер опубликования: 1001202006220002
Дата опубликования: 22.06.2020
Страница №21 из 32:
Увеличить