Официальное опубликование правовых актов
ОФИЦИАЛЬНОЕ ОПУБЛИКОВАНИЕ
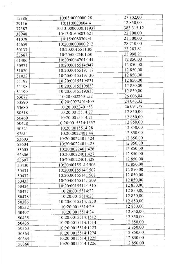
Приказ Министерства имущественных и земельных отношений Республики Карелия от 24.04.2020 № 118
"О внесении изменений в приказ от 31 октября 2019 года № 190"
Номер опубликования: 1001202004270002
Дата опубликования: 27.04.2020
Страница №2 из 3:
Увеличить