Официальное опубликование правовых актов
ОФИЦИАЛЬНОЕ ОПУБЛИКОВАНИЕ
Приказ Министерства спорта Республики Карелия от 16.04.2020 № 137
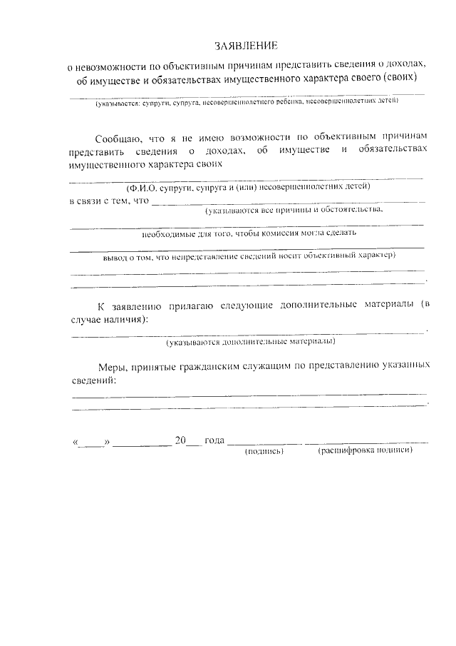
"О порядке поступления должностному лицу, ответственному за работу по профилактике коррупционных и иных правонарушений, заявлений государственных гражданских служащих Министерства спорта Республики Карелия о невозможности представления сведений о доходах, об имуществе и обязательствах имущественного характера своих супруги (супруга) и несовершеннолетних детей"
Номер опубликования: 1001202004210003
Дата опубликования: 21.04.2020
Страница №5 из 6:
Увеличить