Официальное опубликование правовых актов
ОФИЦИАЛЬНОЕ ОПУБЛИКОВАНИЕ
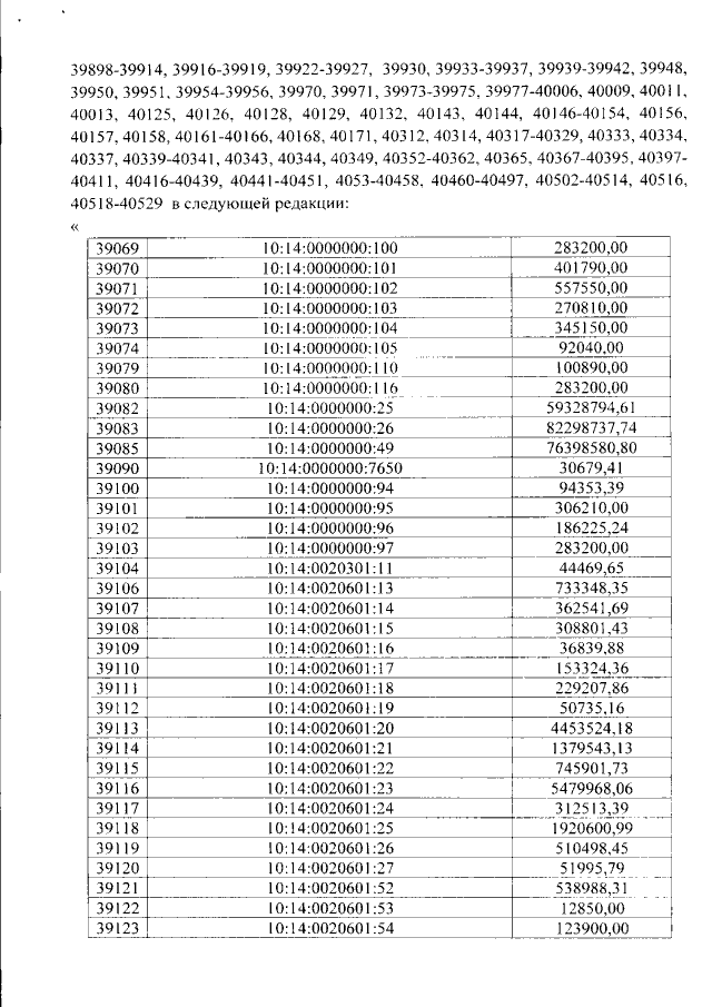
Приказ Министерства имущественных и земельных отношений Республики Карелия от 30.03.2020 № 95
"О внесении изменений в приказ от 31 октября 2019 года № 190"
Номер опубликования: 1001202003310004
Дата опубликования: 31.03.2020
Страница №2 из 20:
Увеличить