Официальное опубликование правовых актов
ОФИЦИАЛЬНОЕ ОПУБЛИКОВАНИЕ
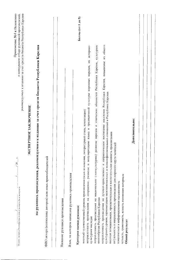
Приказ Министерства национальной и региональной политики Республики Карелия от 05.03.2020 № 58
"Об утверждении Положения о конкурсном отборе рукописей произведений, рекомендуемых к изданию за счет средств бюджета Республики Карелия"
Номер опубликования: 1001202003110001
Дата опубликования: 11.03.2020
Страница №13 из 13:
Увеличить