Официальное опубликование правовых актов
ОФИЦИАЛЬНОЕ ОПУБЛИКОВАНИЕ
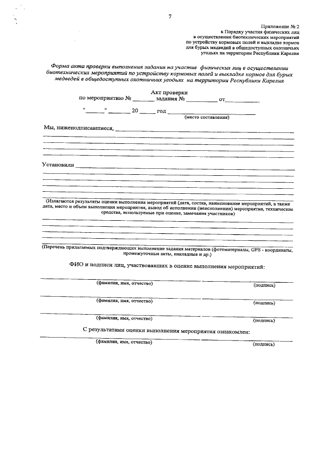
Приказ Министерства природных ресурсов и экологии Республики Карелия от 27.02.2020 № 336
"Об утверждении Порядка участия физических лиц в осуществлении биотехнических мероприятий по устройству кормовых полей и выкладке кормов для бурых медведей в общедоступных охотничьих угодьях на территории Республики Карелия"
Номер опубликования: 1001202003040002
Дата опубликования: 04.03.2020
Страница №7 из 7:
Увеличить