Официальное опубликование правовых актов
ОФИЦИАЛЬНОЕ ОПУБЛИКОВАНИЕ
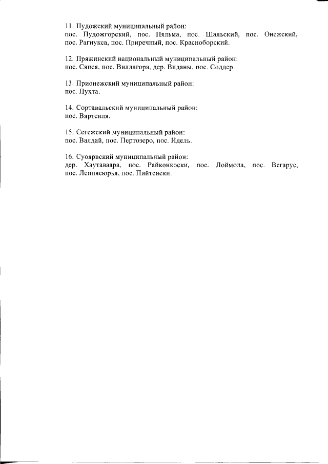
Приказ Государственного комитета Республики Карелия по обеспечению жизнедеятельности и безопасности населения от 27.02.2020 № 38
"Об утверждении Перечня населенных пунктов Республики Карелия, подверженных угрозе лесных пожаров в 2020 году"
Номер опубликования: 1001202003020012
Дата опубликования: 02.03.2020
Страница №3 из 3:
Увеличить