Официальное опубликование правовых актов
ОФИЦИАЛЬНОЕ ОПУБЛИКОВАНИЕ
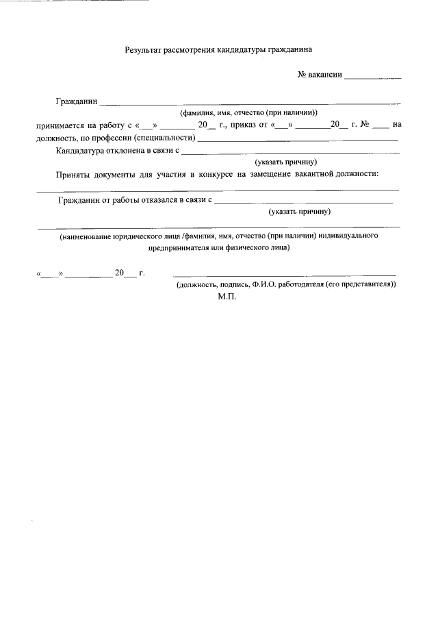
Приказ Управления труда и занятости Республики Карелия от 12.12.2019 № 206-П
"Об утверждении Административного регламента предоставления государственной услуги содействия гражданам в поиске подходящей работы, а работодателям в подборе необходимых работников"
Номер опубликования: 1001201912170002
Дата опубликования: 17.12.2019
Страница №41 из 50:
Увеличить