Официальное опубликование правовых актов
ОФИЦИАЛЬНОЕ ОПУБЛИКОВАНИЕ
Приказ Министерства имущественных и земельных отношений Республики Карелия от 20.11.2019 № 199
"О внесении изменений в приказ Министерства имущественных и земельных отношений Республики Карелия от 22 ноября 2018 года № 221"
Номер опубликования: 1001201911210002
Дата опубликования: 21.11.2019
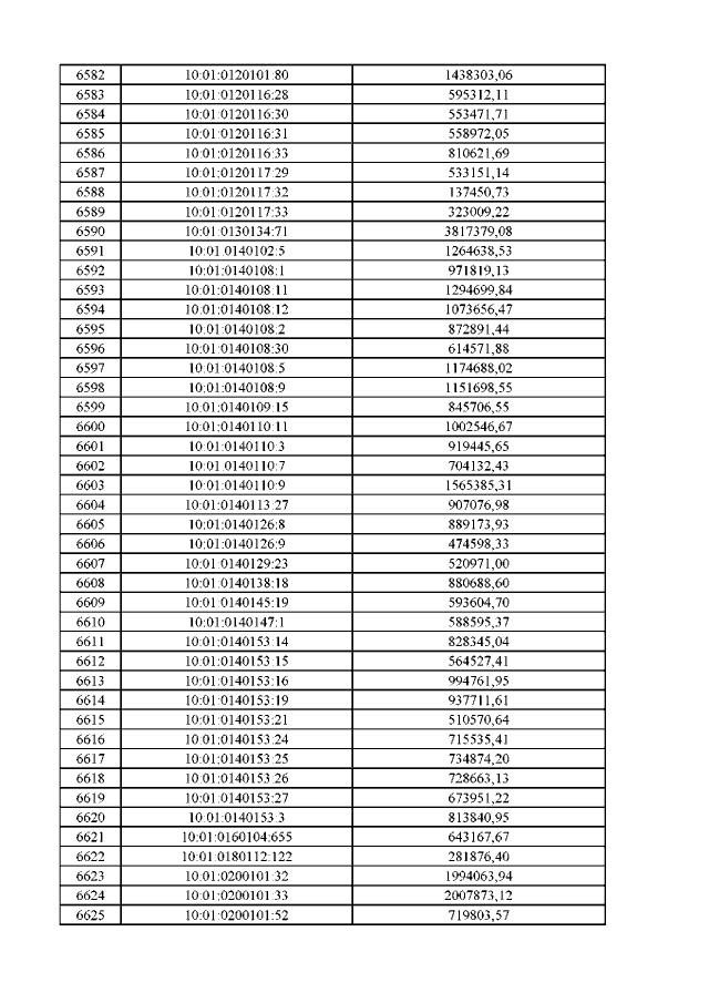
Страница №152 из 2655:
Увеличить